Hledej Zobraz: Univerzity Kategorie Rozšířené vyhledávání

12 662
projektů

Vypracované otázky ke zkoušce z Teorie technologických procesů

«»
Přípona
.doc
Typ
vypracované otázky
Stažené
2 x
Velikost
2,7 MB
Jazyk
český
ID projektu
10830
Poslední úprava
18.09.2017
Zobrazeno
1 589 x
Autor:
aladeen
Facebook icon Sdílej na Facebooku
Detaily projektu
Popis:
Obsah fyzikální chemie:
FCH se zabývá:
- příčinami a podstatou průběhu chemických a fyzikálních dějů. Středem zájmu FCH je fyzikální nebo chemický proces
- souvislostí mezi chemickými a fyzikálními vlastnostmi látek.

Členění FCH:
- chemická termodynamika
- zabývá se energetickými bilancemi pochodů (kolik tepla..)
- podmínky chemických a fázových rovnovah
- vliv vnějších činitelů na rovnováhy
- chemická kinetika
- sleduje rychlost dějů
- elektrochemie
- zabývá se roztoky elektrolytů
- koloidní chemie
- zabývá se disperzními soustavami (emulze - olej ve vodě, suspenze - aktivní uhlí ve vodě)

Chemická termodynamika - látky plynné = plyny. Stav plynu je určen hodnotou stavových veličin (stav plynu = S, stavové veličiny p, T, V, n. Základní souvislost, poměr mezi veličinami, dává stavová rovnice.

1. Model ideálního plynu
- zjednodušení popisu plynných látek.
- platí: částice ideálního plynu jsou bezrozměrné hmotné body. Zanedbává se rozměr, mezi částicemi ideálního plynu nepůsobí síly (přitažlivost, odpudivost).

Stavové rovnice ideálního plynu - jsou to zákony ideálního plynu:
- Boyle-Mariotteův zákon - P.V = konstanty, n,T = konstanty

Klíčová slova:

reálné plyny

tepelná kapacita

reakční teplo

entropie

parciální veličiny

chemické rovnováhy

fázové rovnováhy

jednosložková soustava



Obsah:
  • 1. Model ideálního plynu
    2. Reálné plyny
    3. Zákony pro ideální plynné směsi:
    4. Tepelná kapacita „C“
    5. Vybrané termodynamické pojmy
    6. I. Věta termodynamická
    7. Ohřev a ochlazování látek
    8. Reakční teplo
    9. Závislost reakční entalpie na teplotě
    10. Souvislost mezi reakční entalpií a reakční vnitřní energií
    11. 2. věta ternodynamická
    12. Entropie - S
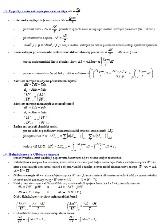
    13. Výpočty změn entropie pro vratné děje
    14. Helmholtzova a Gibbsova energie
    15. Kritéria termodynamické rovnováhy - souvislost mezi termodynamickými veličinami
    16. Parciální veličiny
    17. Chemické rovnováhy
    18. Gultberg-Waageův zákon
    19. Rovnovážná konstanta
    20. Činitelé ovlivňující chemickou rovnováhu
    21. Fázové rovnováhy
    22. Termodynamické podmínky fázové rovnováhy
    23. Fázové rovnováhy v jednosložkové soustavě
    30. Roztoky
O souborech cookie na této stránce

Soubory cookie používáme pro funkční účely, pro shromažďování a analýzu informací o výkonu a používání stránky.

Nastavení Povolit vše